Document ID# 874543
1998 Saturn SL2/SC2/SW2
 

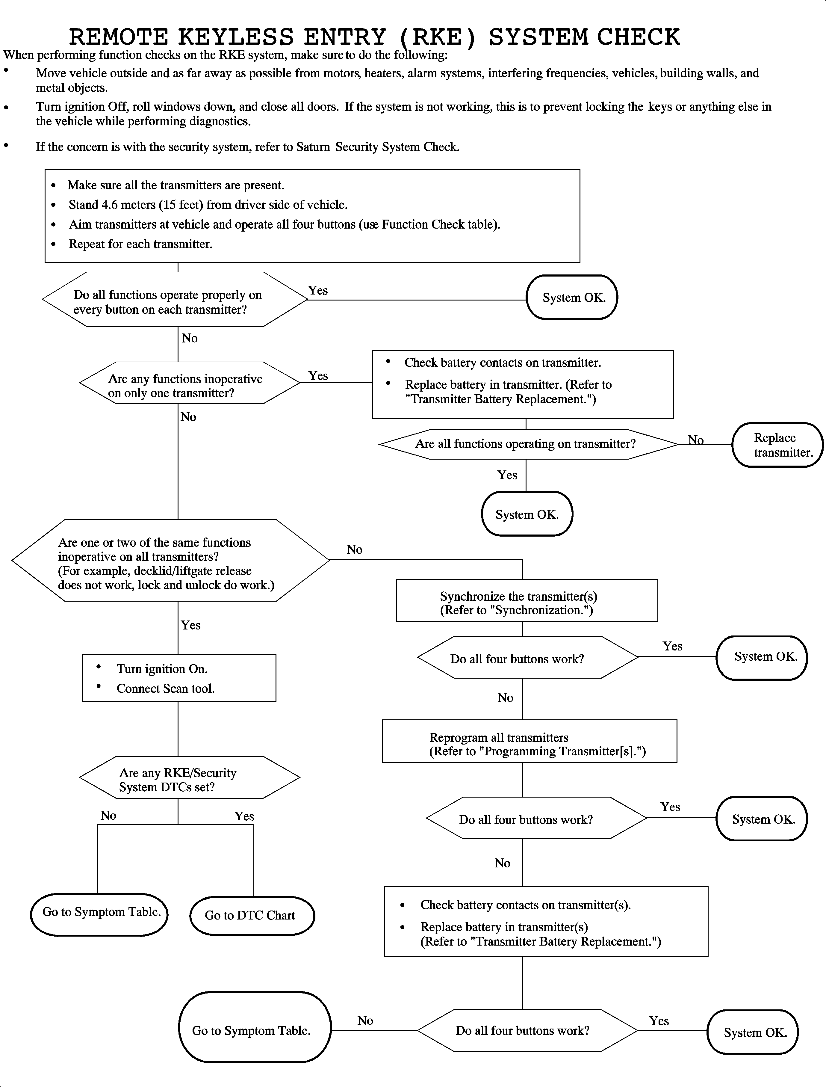
Keyless Entry System Check


Object Number: 874665  Size: FP
Click here for detailed picture of above image.

Object Number: 874666  Size: FP
Click here for detailed picture of above image.

  Document ID# 874543
1998 Saturn SL2/SC2/SW2