
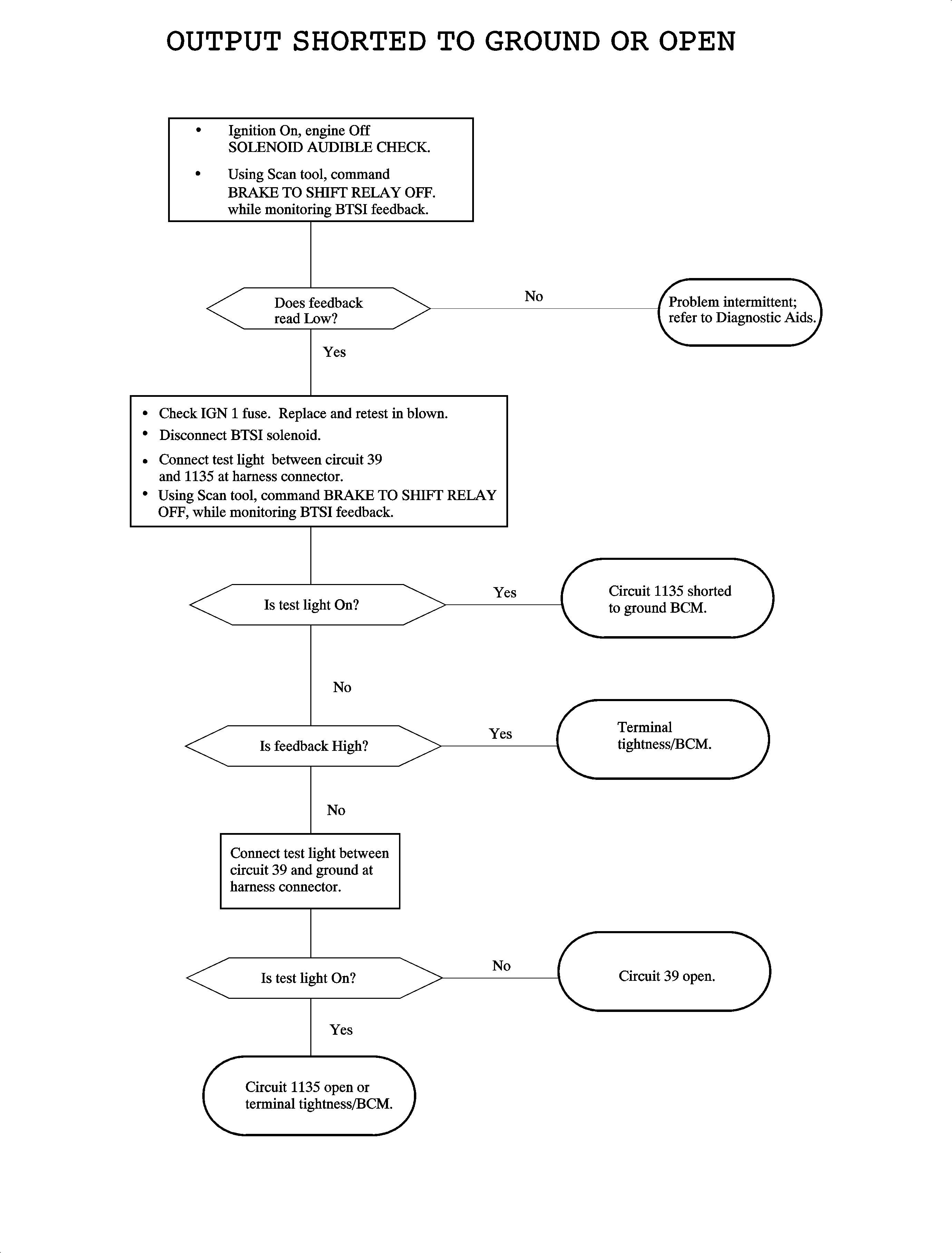
The brake transaxle shift interlock (BTSI) solenoid is energized by the body control module (BCM) switching circuit 1135 to ground while ignition is in RUN or CRANK. When not energized, the BTSI solenoid will allow shifting from PARK. A condition for shifting from PARK is that the foot brake must be applied. The BCM receives the stop lamp switch status from the powertrain control module (PCM) over the class II link. The BTSI solenoid will allow shifting from PARK when ignition is in the ACC position without a brake pedal input. The BCM also monitors IGN 1 input (circuit 39) to determine if the ignition switch is in the RUN or CRANK position
DTC B2707 will set if circuit 1135 is open or shorted to ground when:
