
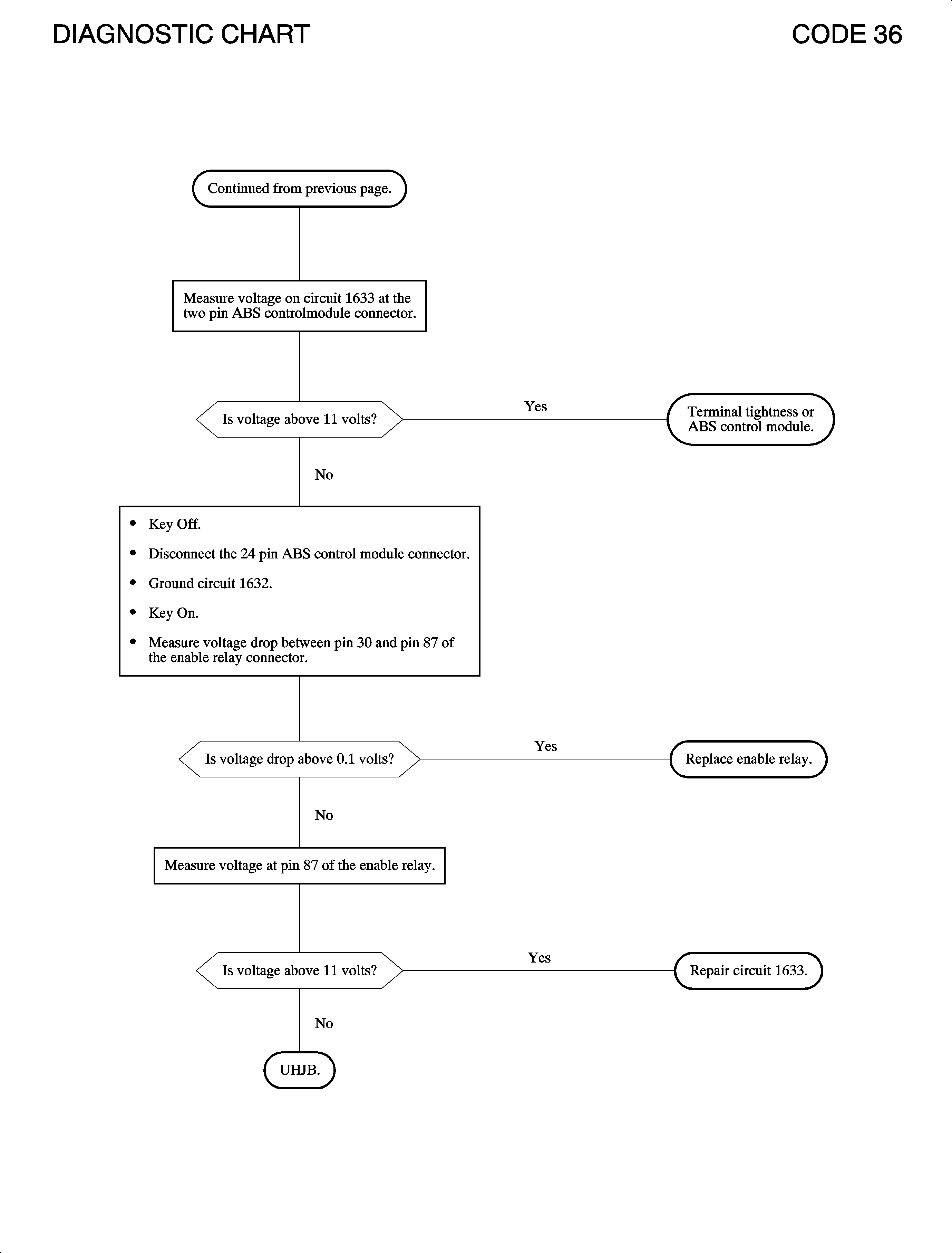
The ABS control module monitors voltage on circuit 1633 when the enable relay is closed. If voltage is below 11 volts, ABS will be disabled and the antilock telltale lamp will be turned On.
Code 36 sets if:
ABS system voltage is between 10.8 to 11.6 volts
Code 86 could also set and the brake telltale lamp will turn On if the ABS rear motor is not in home position.
This code can set anytime the vehicle is moving faster than 13 km/h (8 mph) and no previous failure has disabled ABS.
If battery is low, check charging system
Check for a battery draw that may be discharging the battery.
Using an ohmmeter to check resistance, shake wires to locate intermittents.
Check the tightness of the female terminal grip with a spare male terminal
When attempting to diagnose an intermittent problem, use the Scan tool to review supplemental diagnostic information. The supplemental data can be used to duplicate a problem.
Select Malf History from Scan tool ABS menu.
Intermittents, shorts or opens suspected to be at the connectors can be detected by using a diagnostic service probe. Voltage can be read on wires without disconnecting any connectors

