Document ID# 879067
1998 Saturn SL2/SC2/SW2
 

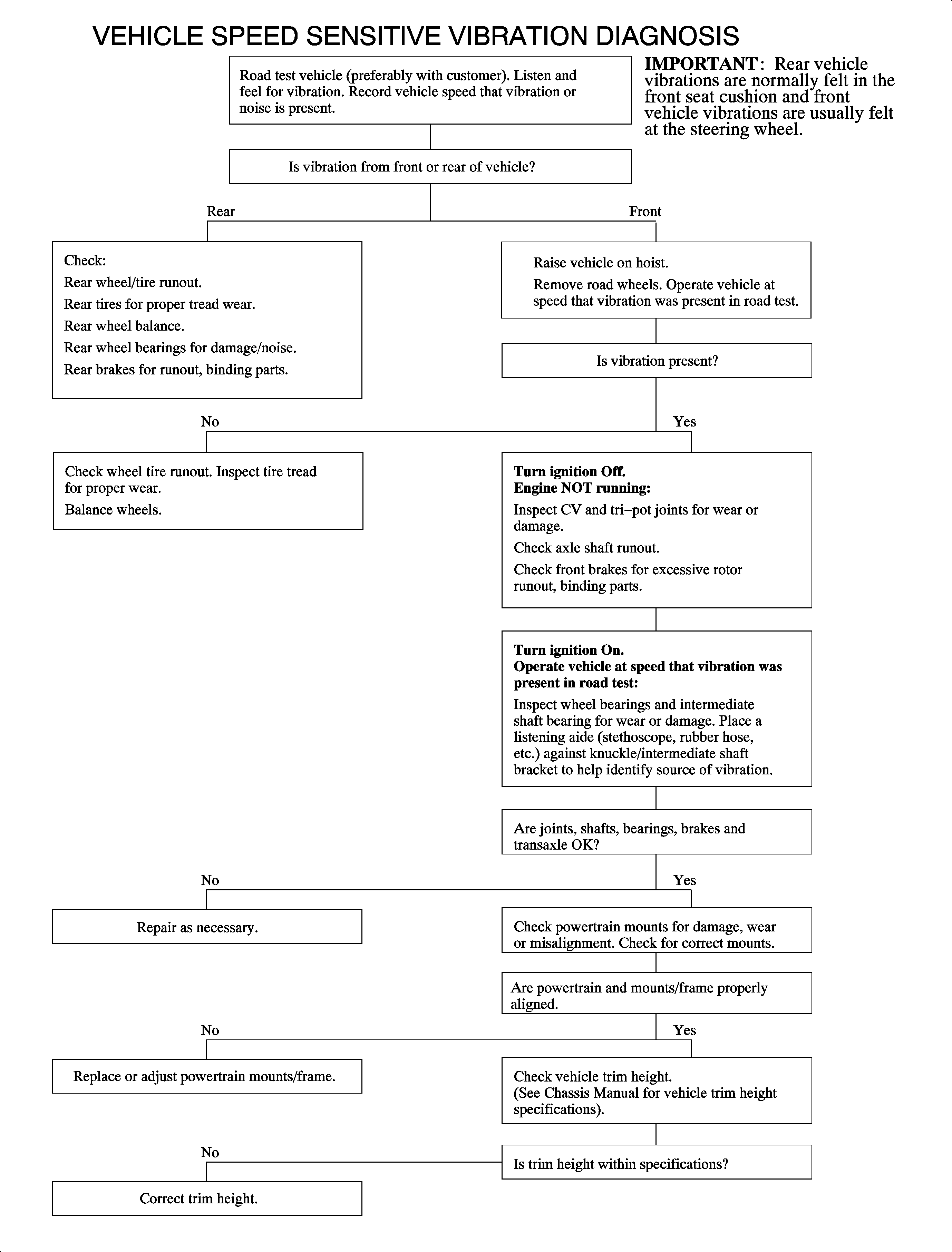
Vehicle-Speed Sensitive Vibration Diagnosis


Object Number: 875501  Size: FP
Click here for detailed picture of above image.

  Document ID# 879067
1998 Saturn SL2/SC2/SW2